伟德体育拥有国家林业和草原局中南速生材繁育重点实验室、广西森林生态与保育重点实验室、广西高校亚热带人工林培育与利用重点实验室。近年来,为提高科研和教学水平,伟德体育与多家林业企业广泛开展树种选育和人工林栽培技术开发与合作研究。
南宁树木园又名南宁良凤江国家森林公园,作为区内最早关注望天树研究的单位之一,从上世纪60-70年代就开始引种望天树。作为Bevictor伟德产学研合作基地,双方共同主持完成了多项望天树有关的项目研究与技术推广工作,在望天树种质资源分布、生长特性、种苗繁育、引种栽培及利用等方面取了较丰富的成果。
由于龙脑香科的濒危树种望天树(Parashorea chinensis)优良的生长特性和很高的科研、观赏和木材价值,为了快速恢复其种群规模、高效可持续地利用该物种资源,Bevictor伟德和南宁树木园合作对望天树天然种群展开调查,同时积极探索高质高效的育苗途径和人工林培育模式。掌握了其天然分布区域和生物学特性,双方共同建立的望天树种质资源库认定为自治区级林木种质资源库,共同制定了广西地方标准(育苗、造林技术规程)等;并在望天树天然林群落结构特征,人工林生长规律、土壤养分特征,幼林林分结构优化和混交树种选择等方面进行了一系列的试验和调查研究。到目前为止,已培育望天树苗木15万余株,营造望天树人工林1000余亩;总结出一整套采种育苗、营林措施,为望天树苗木培育及人工林栽培提供技术支撑。通过长期努力,取得了以下主要研究进展:
一:望天树天然种群生长、更新与土壤、光照等环境因子的关系研究
通过以桂西南地区那坡县和田阳县的天然望天树为研究对象,从物种组成、物种优势度等特征分析广西望天树群落的分布规律。发现这些分布区的望天树种群,以望天树为乔木层优势树种,大戟科植物秋枫为亚优势种,外貌以大、中高位芽植物组成为特征。在植物区系组成上,以大戟科、桑科、茜草科、紫金牛科、棕榈科、番荔枝科等为主要组成科;在重要值统计上,以大戟科、紫金牛科、桑科、梧桐科、茜草科、棕榈科等为优势科,与东南亚北热带雨林很接近,故为北热带季雨林的北缘类型(黄松殿,王磊,苏勇,唐日俊,梁机,2011年)。
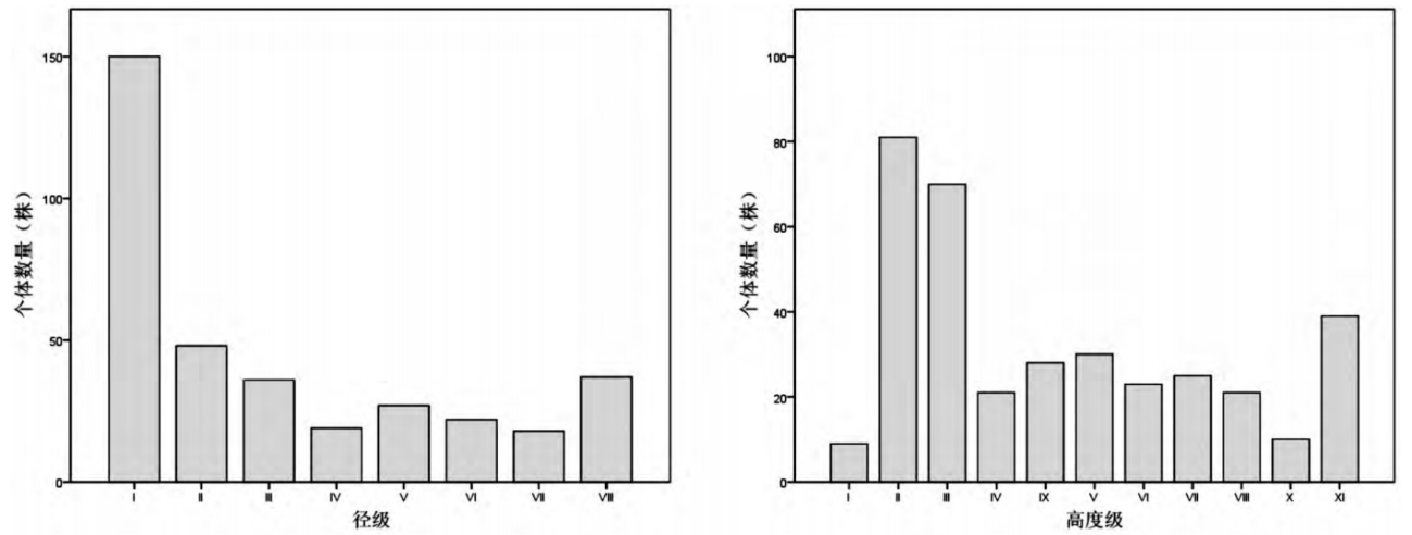
通过对广西田阳县境内望天树天然林的357株个体进行调查,分析望天树天然种群的高度级和胸径径级结构及其内在关系,结果表明:43%的望天树个体的树高分布在第II(3.0~6.0 m)和III(6.0~9.0 m)高度级,42%的望天树个体的胸径分布在第I胸径级(2.5~6.5 cm);采用11个回归模型进行胸径-树高拟合,最终筛选出4个候选模型,分别为对数模型、二次模型、三次模型和幂模型,其中以三次模型的拟合效果最优;三次模型指出望天树胸径在30 cm以内时,树高随胸径增长较快,在胸径达到30cm以后,树高增长逐渐放缓,呈现出S型生长规律。发现该望天树天然种群是一个更新能力强、处于正向演替过程中的稳定种群。该研究结果可为广西望天树天然林的种群保护、更新、恢复以及人工林的栽培提供参考(梁建平,程飞,吴敏,刘奎,吴道念,杨梅,2017年)。

图1 望天树天然林高度级和径级分布
通过对广西不同分布地点的望天树人工林(德隆、南宁树木园)与天然林(大化、百南、那里)进行林分生长和林地光环境指标测定,分析林地光环境特征及其与树高、胸径之间的关系。结果表明:望天树林冠层叶面积指数(LAI)在南宁树木园极显著高于德隆,大化最低;平均叶倾角(MLA)在德隆极显著高于其他地点;林透射系数(TC)在大化显著高于其他地点;光合有效辐射(PAR)在南宁树木园显著高于其他地点。LAI、MLA和PAR均明显高于天然林,天然林的TC与人工林无显著差异;LAI与TC表现出强的负相关。望天树树高与MLA也呈正相关,胸径分别与MLA、PAR呈现明显的正相关关系。总之,望天树冠层结构特征与它的生长量之间存在显著的相关性,相对于天然林,望天树人工林冠层结构特征能更有效地发挥其冠层作用,对生长发育能产生更明显的影响(何鹏,程飞,杨梅,何方中,2020年)。

图2望天树胸径、树高关系分布(A) 及其与冠层参数之间的相关性(B)
通过对广西田阳县和那坡县的望天树天然林样地进行每木检尺,并调查环境因子,分析望天树更新密度与环境因子之间的关系,探讨环境因子天然林更新的内在联系。结果表明:在更新苗中,5级更新苗(幼树,H≥1 m,DBH<5 cm)分布数量最大,3级更新苗(50 cm≤H<75 cm)在过渡到4级更新苗(75 cm≤H<100 cm)的过程中死亡率较高;望天树幼苗更新密度与空气湿度和林分郁闭度的关联度最高;空气湿度与更新苗的树高呈极显著负相关关系,与更新密度极显著正相关,望天树天然林更新苗的树高地径与更新密度、郁闭度、土壤铵态氮、植被盖度、凋落物厚度、土壤速效钾呈负相关关系,但是均未达到显著水平。该研究可为保护望天树天然林、建立自然保护区提供基础的数据支撑(刘奎,黄宝榴,陈凯,杨梅,2018年)。

图3样地幼苗、幼树的数量结构和更新苗的数量结构
二:望天树林分结构转化与土壤养分和微生物群落的关系研究
以望天树人工纯林及混交林,即望天树×降香黄檀(Dalbergia odorifera)混交林和望天树×巨尾桉(Eucalyptus grandis×E. urophylla)混交林为研究对象,测定林地土壤理化性质、土壤微生物生物量碳氮及养分含量,利用生态化学计量和主成分分析方法研究不同林分和土层对土壤微生物量碳氮含量及土壤质量的影响。结果发现,望天树混交林相比纯林而言,对土壤微生物环境和土壤质量的促进效果更明显,其中望天树×巨尾桉混交模式更有利于养分活化,提高微生物群落功能及改善林地土壤结构,是望天树幼林时期和桉树纯林改造较合适的混交模式选择(李万年,黄则月,赵春梅,杨梅,2020年)。
表1土壤微生物量碳氮与土壤养分含量、化学计量特征的相关性
|
MBN |
有机碳 TC |
全氮 TN |
MBC:MBN |
TC:TN |
全磷 TP |
全钾 TK |
铵态氮 AN |
硝态氮 NN |
速效磷 AP |
速效钾 AK |
土壤密度 Soil density |
MBC |
0.852** |
0.853** |
0.689** |
0.466 |
0.609** |
0.571** |
-0.193 |
0.628** |
0.175 |
0.606** |
0.677** |
0.667* |
MBN |
1 |
0.782** |
0.620** |
-0.054 |
0.540* |
0.702** |
-0.026 |
0.643** |
0.313 |
0.714** |
0.561* |
0.352 |
TC |
0.782** |
1 |
0.768** |
0.304 |
0.780** |
0.372 |
-0.07 |
0.565* |
0.371 |
0.605** |
0.788** |
0.780** |
TN |
0.620** |
0.768** |
1 |
0.277 |
0.22 |
0.372 |
-0.071 |
0.321 |
0.344 |
0.439 |
0.544* |
0.632* |
MBC:MBN |
-0.054 |
0.304 |
0.277 |
1 |
0.248 |
-0.09 |
-0.334 |
0.104 |
-0.21 |
-0.047 |
0.298 |
0.505 |
TC:TN |
0.540* |
0.780** |
0.22 |
0.248 |
1 |
0.153 |
-0.097 |
0.568* |
0.231 |
0.427 |
0.654** |
0.515 |
通过对比分析不同林分中望天树根际土壤理化性质,利用Biolog-Eco微平板法和磷脂脂肪酸甲酯法(PLFA)研究根际土壤微生物群落特征,探讨上述不同混交树种对望天树根际土壤微生态环境的影响。结果发现,(1)3种林分望天树根际土壤含水量、pH值、有机质、全氮、全钾含量及蔗糖酶、脲酶和酸性磷酸酶活性均表现为“望×按混交林”显著高于纯林和“望×降混交林”,硝态氮、铵态氮、全磷、速效磷、速效钾含量均表现为“望×按混交林”和“望×降混交林”显著高于纯林;(2)根际土壤微生物Shannon指数、Simpson指数和McIntosh指数、6类碳源底物利用程度、微生物总PLFA以及细菌、真菌、放线菌的PLFA含量均表现为“望×按混交林”>“望×降混交林”>望天树纯林。总之,在上述的3种望天树林分类型中,望天树×尾巨桉混交林是最有利于改善望天树幼树期根际土壤微生态环境、提高土壤可利用养分的混交模式。可以有效提高土壤微生物代谢活性和功能多样性,促进凋落物和有机质分解,改善土壤质量,为望天树生长营造了较好的土壤环境和光照条件(李万年,罗益敏,黄则月,杨梅,2022年)。

图4不同望天树林型下土壤微生物群落对6类碳源的利用特征
通过对广西田阳县望天树天然林、油茶(Camellia oleifera)人工林及桉树(Eucalyptus robusta)人工林为研究对象,分析了微生物生物量碳、氮以及诸因素的垂直变化。结果表明:3种林分土壤微生物生物量碳、氮均随着土层深度显著下降,其中不同林地0~10 cm土层的土壤微生物量碳差异最大,20~40 cm土壤微生物量氮差异最大;0~10 cm和20~40 cm望天树天然林的微生物量碳均显著高于油茶人工林、桉树人工林。3种林分微生物生物量碳、氮均与土壤全氮、速效钾呈极显著正相关。总之,望天树天然林各土层土壤微生物生物量碳、氮均保持在良好水平,土壤深度、土壤养分含量、林分树种组成等因素均能对土壤微生物生物量碳氮产生显著影响(施福军,黄则月,李婷,韦秋梅,杨梅,2018年)。
三:植物生长调节剂、微生物菌剂和低温胁迫对望天树苗木生长和生理的影响
为探讨不同植物生长调节剂对望天树苗木生长及生理特性的影响,以1年生实生苗为研究对象,分析复合型植物生长调节剂(植富、喜硕、B-1、ABT1号)对望天树苗木生长、各器官干物质积累量、叶片和根系形态、根系活力,及其内源激素、叶绿素、抗氧化酶活性的影响。结果表明:植富生长调节剂则可有效提高苗木叶绿素a、叶绿素b及总叶绿素含量,并显著增加根系体积;喜硕生长调节剂对根长、根尖数和根系活力的促进效果最佳;B-1生长调节剂显著促进苗木内源激素GA3、IAA、ZR、ABA含量,并提高超氧化物歧化酶活性;ABT1号生长调节剂对于望天树苗木苗高、地径、生物量积累、叶绿素增长具有显著促进作用,且对苗木丙二醛含量表现出较高的抑制效果(邓福春,宋子琪,包晗,李婷,杨梅,2023年)。

图5不同植物生长调节剂处理下望天树苗木的苗高、地径生长量
通过综合评价,4种生根剂的促生效果排序为:ABT1>喜硕>B-1>植富;不同类型和浓度的生根剂效果差异显著,且存在明显的交叉作用;根系形态因子是望天树苗木综合质量的关键驱动因素,也是评价苗木质量的重要指标(田湘,李万年,包晗,杨梅,2022年)。
表2不同生长促进剂处理望天树苗木的苗木质量指数(SQI)
处理 |
苗木质量指数 |
排名 |
处理 |
苗木质量指数 |
排名 |
ABT1-1 |
0.92 |
1 |
喜硕-3 |
0.32 |
8 |
喜硕-2 |
0.69 |
2 |
植富-2 |
0.27 |
9 |
ABT1-2 |
0.54 |
3 |
B-1-3 |
0.25 |
10 |
ABT1-3 |
0.52 |
4 |
植富-1 |
0.23 |
11 |
喜硕-1 |
0.43 |
5 |
B-1-1 |
0.21 |
12 |
B-1-2 |
0.41 |
6 |
CK |
0.17 |
13 |
植富-3 |
0.33 |
7 |
- |
- |
- |
此外,低温胁迫研究表明,望天树苗期叶片在0℃低温胁迫中受到一定程度的伤害,0℃处理2d可作为早期筛选耐寒材料的时间节点;待温度回升到25℃后,渗透调节物质含量及抗氧化酶活性开始下降,表明望天树幼苗在遭受低温胁迫后具有一定的自我修复机制(陈凯,江秀章,马松亚,程飞,杨梅,2019年)。
四:望天树人工林根际土著解磷细菌筛选与应用
通过从不同林龄望天树人工林根际土壤中筛选高效溶磷细菌,探究优势土著菌株在不同培养条件下的溶磷特点。初步分离筛选出的18株溶磷菌中,溶磷能力较强菌株为P4、P8、P12和P30(溶磷量分别为552.87、559.78、548.53、598.89 mg/L)。经鉴定,菌株P8为唐菖蒲伯克霍尔德菌,P4和P12鉴定为洋葱伯克霍尔德菌,P30鉴定为蜡状芽孢杆菌。菌株P4、P8、P12和P30菌株的溶磷量与培养液pH值之间均存在极显著负相关,各溶磷菌株在温度为30~35℃,pH为5.5~8.5,NaCl质量分数为0~2.5%,碳源为蔗糖、乳糖和葡萄糖,氮源为草酸铵和硫酸铵时,表现出较好的溶磷效果;菌株P12最佳磷源为FePO4,P30、P8和P4最佳磷源均为Ca3(PO4)2。总之,不同培养条件会显著影响溶磷细菌的溶磷能力,筛选得到的4株高效溶磷菌具有良好的溶磷能力,且能够溶解多种难溶性无机磷酸盐,可为望天树微生物肥料的开发与应用提供菌种资源和理论依据(韦双,韩小美,黄伟,李万年,杨梅,2023年)。
基于上述从望天树根际环境中筛选得到的优良菌株,伟德体育杨梅教授团队和南宁树木园合作,两家合作单位分别通过1株高效溶磷菌株(P8和P1),成功申请了国家发明专利5项。其中2项专利分别可提供1种唐菖蒲伯克霍尔德菌(Burkholderia gladioli)P8和1种蜡样芽胞杆菌(Bacillus cereus)P1,均可用于将土壤中难溶性的磷转化为可以被植物吸收的有效磷。这2个菌株现均保藏于中国微生物菌种保藏中心管理委员会普通微生物中心(简称CGMCC),保藏登记号分别为CGMCC No.22825和CGMCC No.22821。获得的发明专利其一名称为《一株唐菖蒲伯克霍尔德氏菌P8及其应用》,发明人为“杨梅,韩小美,余注光,黄平升,李万年,汪丛啸,廖思”,专利号为ZL 2021 1 1531315.5。发明专利其二名称为《一株蜡样芽孢杆菌P1及其应用》,发明人为“余注光,李婷,何乐祖,刘莉,杨梅,韩小美”,专利号为ZL 2021 1 1533218.X。

图6发明专利证书《一株唐菖蒲伯克霍尔德氏菌P8及其应用》

图7发明专利证书《一株蜡样芽孢杆菌P1及其应用》
伟德体育和南宁树木园围绕望天树展开的这些项目的成功实施,以及相关技术成果的具体落地应用,进一步提升了望天树的栽培技术水平,扩大了望天树种植区域和分布面积,提高了望天树及龙脑香科其他濒危树种人工林的培育质量和林地土壤管理水平,为进一步建设望天树林木良种基地提供技术储备,为现代林业产业科技创新示范基地建设提供理论和技术支撑,最终为望天树天然林和人工林的可持续高质高效发展奠定坚实基础。
鸣谢:上述研究得到了国家自然科学基金项目(31260176)和(31960307),广西自然科学基金项目(2015GXNSFAA139081)和(2018GXNSFAA28110),中央财政林业科技推广示范项目(〔2015〕TG12号),广西林业科技项目(桂林科字〔2014〕第10号)和(桂林科研项目〔2022ZC〕第77号)等共同资助。